Dapatkan perhitungan jumlah sampel dengan mudah dan hasil yang akurat!
Populasi merupakan seluruh kelompok orang, peristiwa, atau hal-hal menarik yang ingin diselidiki oleh peneliti. Populasi adalah kelompok orang, peristiwa, atau hal-hal yang menarik yang akan dijadikan kesimpulan (berdasarkan statistik sampel).
Sampel adalah bagian dari populasi, yaitu yang terdiri dari beberapa anggota yang dipilih darinya. Dengan kata lain, beberapa, tetapi tidak semua, elemen populasi menjadi bentuk sampel.
Agar Anda bisa menghitung ukuran sampel, Anda harus tahu:
Population size — berapa banyak orang total di populasi target Anda (misalnya, jumlah pelanggan, warga kota, karyawan perusahaan, dan sebagainya).
Margin of error — hingga seberapa besar toleransi kesalahan dalam hasil survei Anda. Semakin kecil margin kesalahan → semakin akurat hasil, tapi biasanya membutuhkan lebih banyak responden.
Confidence level — seberapa yakin Anda bahwa hasil dari sampel mencerminkan populasi, misalnya 90%, 95%, atau 99%.
Kadang juga populasi proporsi (p) dipakai dalam perhitungan statistik — jika Anda punya estimasi sebelumnya. Jika tidak, biasanya dipakai nilai konservatif default 0,5 (50 %).
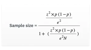
Jika Anda ingin menghitung secara manual (tidak menggunakan tool), bisa memakai rumus statistik:

p adalah proporsi di populasi yang diperkirakan (gunakan 0.5 jika tidak tahu)
e adalah margin of error dalam bentuk desimal (misalnya 0.05 untuk 5%)
Jika populasi Anda tidak terlalu besar (finite population), ada koreksi: rumus disesuaikan agar hasil sample size tidak terlalu besar dibanding populasi.
Sebagai ilustrasi:
Misalnya survei sebuah kota dengan populasi 500.000, dengan confidence level 95% dan margin error 5% → ukuran sampel sekitar 384 orang.
Jika survei di perusahaan dengan 300 karyawan, dan Anda memilih confidence level 80% + margin error 10%, sampelnya bisa jauh lebih kecil (misalnya sekitar 37).
Jika margin of error terlalu besar, hasil survei bisa terlalu “kasar” — tidak mewakili populasi dengan baik.
Jika confidence level ingin tinggi, maka butuh lebih banyak responden supaya hasil bisa dipercaya.
Terlalu kecil sampel → hasil tidak dapat digeneralisasi; terlalu besar → bisa boros waktu dan biaya.
Untuk survei jenis tertentu — misalnya survei internal perusahaan, survei pelanggan, survei politik, riset pasar — kebutuhan sample size bisa berbeda tergantung tujuan dan populasi.
Tentukan dulu apa tujuan survei — apakah untuk opini kasar / cepat, atau hasil yang benar-benar dapat digeneralisasi. Jika hasil untuk analisis serius, gunakan confidence level tinggi dan margin error kecil.
Sesuaikan budget dan waktu — survei dengan sampel besar biasanya lebih mahal dan memakan waktu.
Jika populasi kecil (misalnya karyawan perusahaan, komunitas terbatas), pakailah koreksi populasi terbatas supaya sample size lebih realistis.
Gunakan nilai p = 0.5 jika Anda tidak memiliki data sebelumnya — ini memberi hasil yang konservatif (yaitu ukuran sampel sebagai “aman-minimum”).
Intinya, kapan pun kamu ingin membuat keputusan berbasis data yang representatif, perhitungan sample size sangat diperlukan.
Kebutuhan ukuran sampel bisa berbeda-beda tergantung tujuan dan jenis surveinya. Berikut panduan ringkasnya:
1. Survei Karyawan & Sumber Daya Manusia (HR)
Survei karyawan membantu memahami suasana kerja dan persepsi karyawan. Ukuran sampel yang besar memang memberi gambaran menyeluruh, tetapi sampel kecil pun tetap bermanfaat untuk mengidentifikasi masalah, kebutuhan, atau area perbaikan di lingkungan kerja.
2. Survei Kepuasan Pelanggan (Customer Satisfaction)
Tidak semua survei pelanggan membutuhkan sampel yang besar. Yang lebih penting adalah:
Setiap feedback—positif maupun negatif—memiliki nilai penting bagi bisnis.
3. Survei Riset Pasar (Market Research)
Untuk riset pasar, dibutuhkan ukuran sampel yang cukup besar agar hasilnya benar-benar mewakili target audience. Ini memastikan insight yang diperoleh:
4. Survei Pendidikan
Untuk menghasilkan temuan yang bermakna, umumnya diperlukan ukuran sampel yang signifikan secara statistik. Namun, jika tujuan survei hanya untuk mengumpulkan opini atau saran dari siswa, ukuran sampel yang sangat besar tidak selalu wajib.
5. Survei Kesehatan
Pada penelitian medis atau survei terkait layanan kesehatan, ukuran sampel yang signifikan sangat penting untuk mengidentifikasi pola, keluhan pasien, hingga mendukung pengembangan rekomendasi medis. Untuk survei kepuasan pasien atau pelayanan rutin, kebutuhan sampelnya bisa lebih fleksibel.
6. Survei Informal / Kasual
Survei santai yang dikirim ke teman, keluarga, atau rekan kerja umumnya tidak memerlukan ukuran sampel yang ketat. Tujuannya lebih untuk hiburan atau pengumpulan opini ringan, sehingga jumlah responden bisa disesuaikan sesuka hati.
Konsultasikan kebutuhan riset Anda ke Tim Sigma Research Indonesia.
Referensi
Krejcie, R.V., & Morgan, D.W., (1970). Determining Sample Size for Research Activities. Educational and Psychological Measurement.
Konsultasi GRATIS 30 Menit